大连海关2023年度考试录用公务员入围体检人员公告
2023-04-13
文章来源:未知

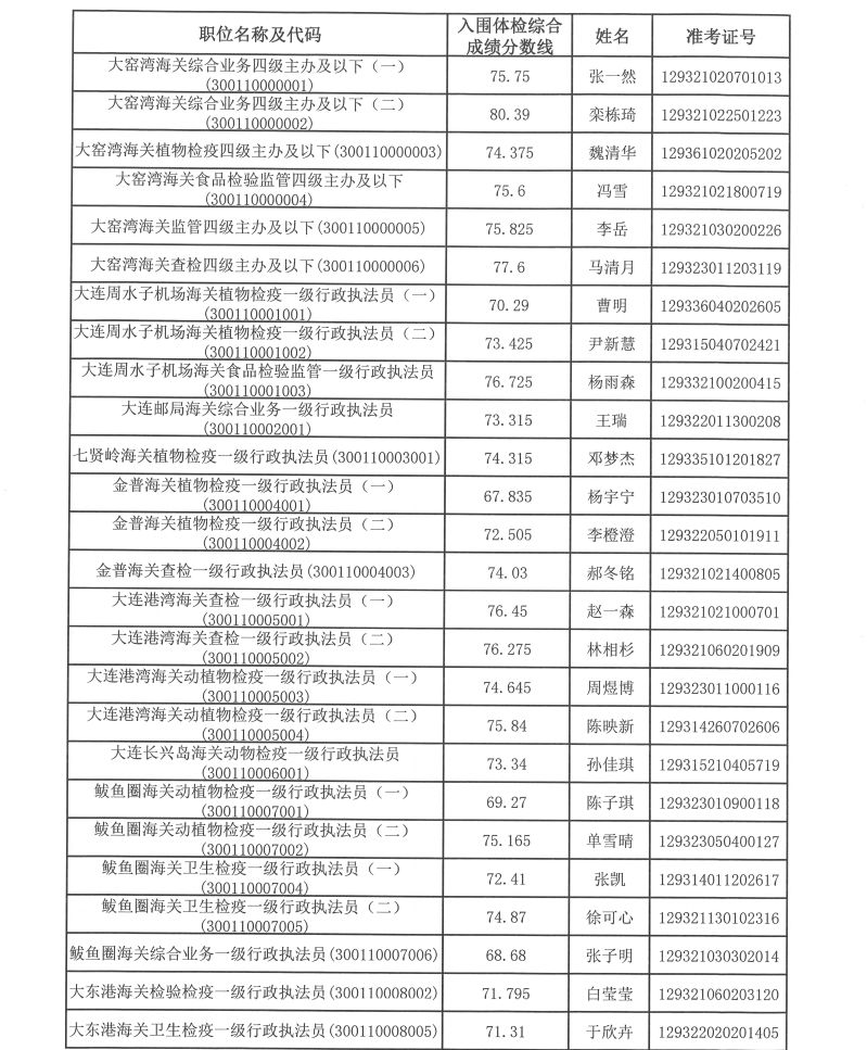
 根据公务员录用工作有关规定,按照综合成绩从高到低的顺序,以下考生入围体检:

 

 

 

 

 注:同一职位考生按准考证号排列

  联系电话:0411-87956099

大连海关

2023年4月13日

【本站文章系网络转载,科信不对其真实性负责,如涉及内容、版权和其它问题,麻烦联系我们,我们会立即删除】
★ 编辑:公告