网站首页
手机端
了解科信
用户服务
400-600-1817
招考信息
报考指导
备考资料
科信题库
科信在线
联系我们
您当前的位置:
>
新公告汇总
>
阜新
>
医疗卫生
>
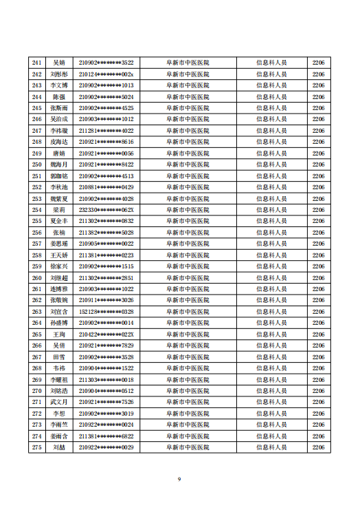
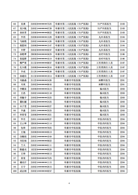
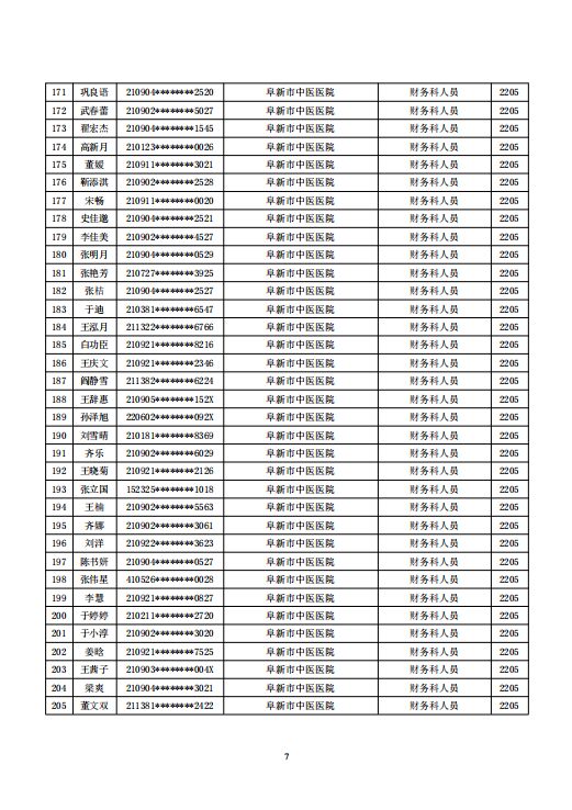
阜新市卫健委直属公立医院2023年公开招聘工作人员及高层次人才报名资格初审通过人员名单
2023-12-18
文章来源:未知
相关公告
相关资料
【本站文章系网络转载,科信不对其真实性负责,如涉及内容、版权和其它问题,麻烦联系我们,我们会立即删除】
★ 编辑:孙老师
上一篇:
阜新市卫健委直属公立医院2023年公开招聘工作人员及高
下一篇:
阜新市卫健委直属公立医院2023年公开招聘工作人员及高
最新公告
- 集团公司资产经营事业部(国资公司)2024年公开招聘3
04-06
- 【招聘】2024年大连市中山区医疗集团招聘非事业编制工
04-06
- 中国工商银行大连市分行2024年度社会招聘公告
04-06
- 本溪市第一中学面向2024届研究生招聘教师6人公告
04-06
- 盘锦市事业单位(国有企业)定向公开招聘2023年度军人
04-05
科信教育公众号
(kexinjiaoyu024)
热门招聘
关注查看
最新解读
关注查看
考试动向
关注查看
招考信息
MORE
>
2024年阜新蒙古族自治县人民医院公开招聘工作人员109人
四大行银行春招公告
西藏自治区2024年高校毕业生公开考录公务员303人公告
抚顺市新东热电供暖有限公司2024年度公开招聘派遣制工作人员26人公告
白塔区人民陪审员选任90人公告
科信题库
MORE
>
2021年鞍山事业单位招考模拟题-资料分析(06.17)
2021年鞍山事业单位招考模拟题-数量关系(06.17)
2021年鞍山事业单位招考模拟题-言语理解与表达(06.17)
2021年鞍山事业单位招考模拟题-常识判断(06.17)
2021事业单位模拟卷-公共基础知识
阅读资料
MORE
>
2024国家公务员面试热点示例详解
2024申论应用文模板
2023军队文职面试注意事项
军队文职面试流程
巧解职测知识点---篇章阅读