400-600-1817
考试类型
{{item.name}}
您当前的位置:
>
盘锦
>
教师招聘
>
面试公告
2022年兴隆台区公开招聘教师面试通知
2022-07-22
2022年兴隆台区公开招聘教师面试通知如下:
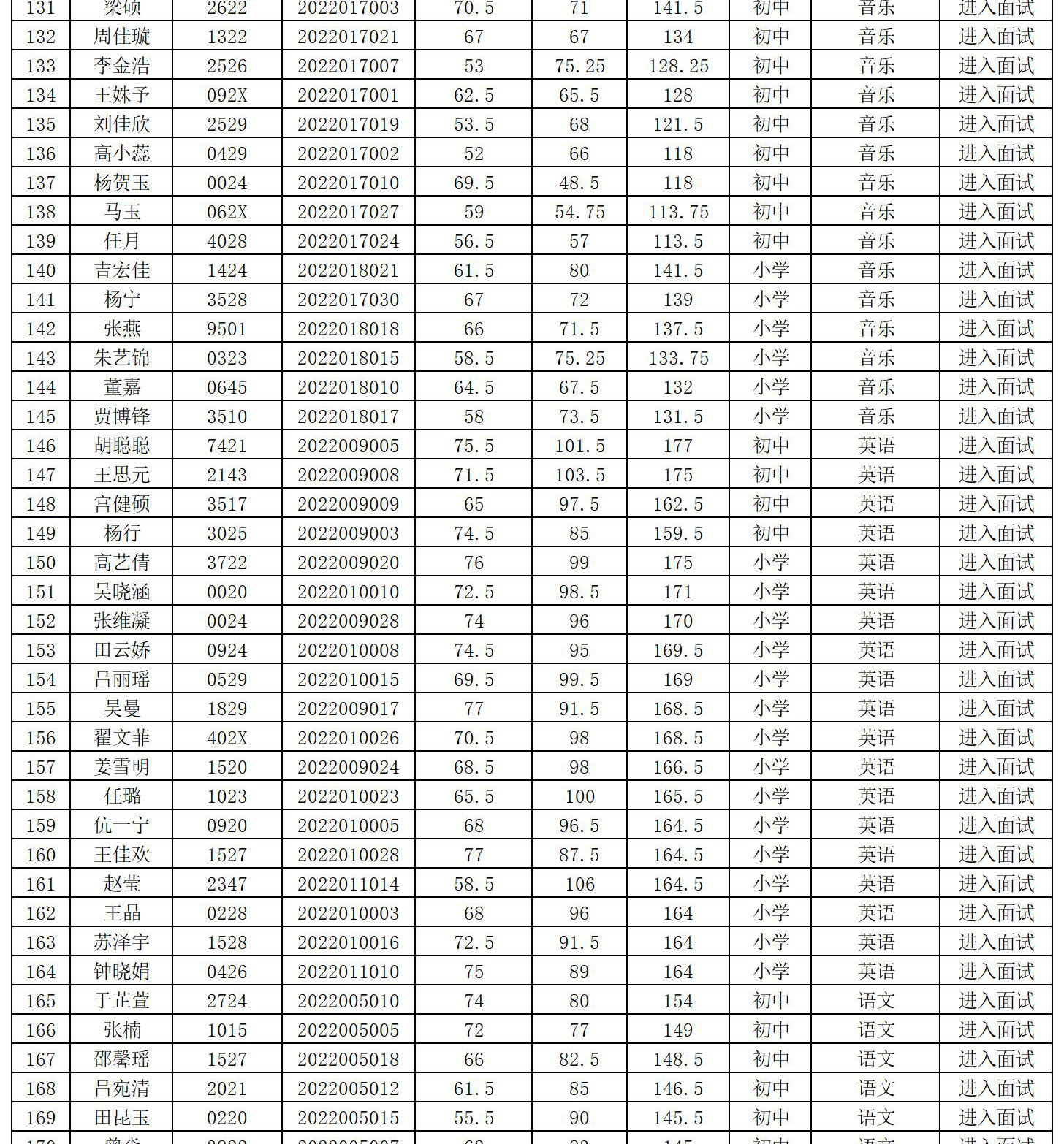
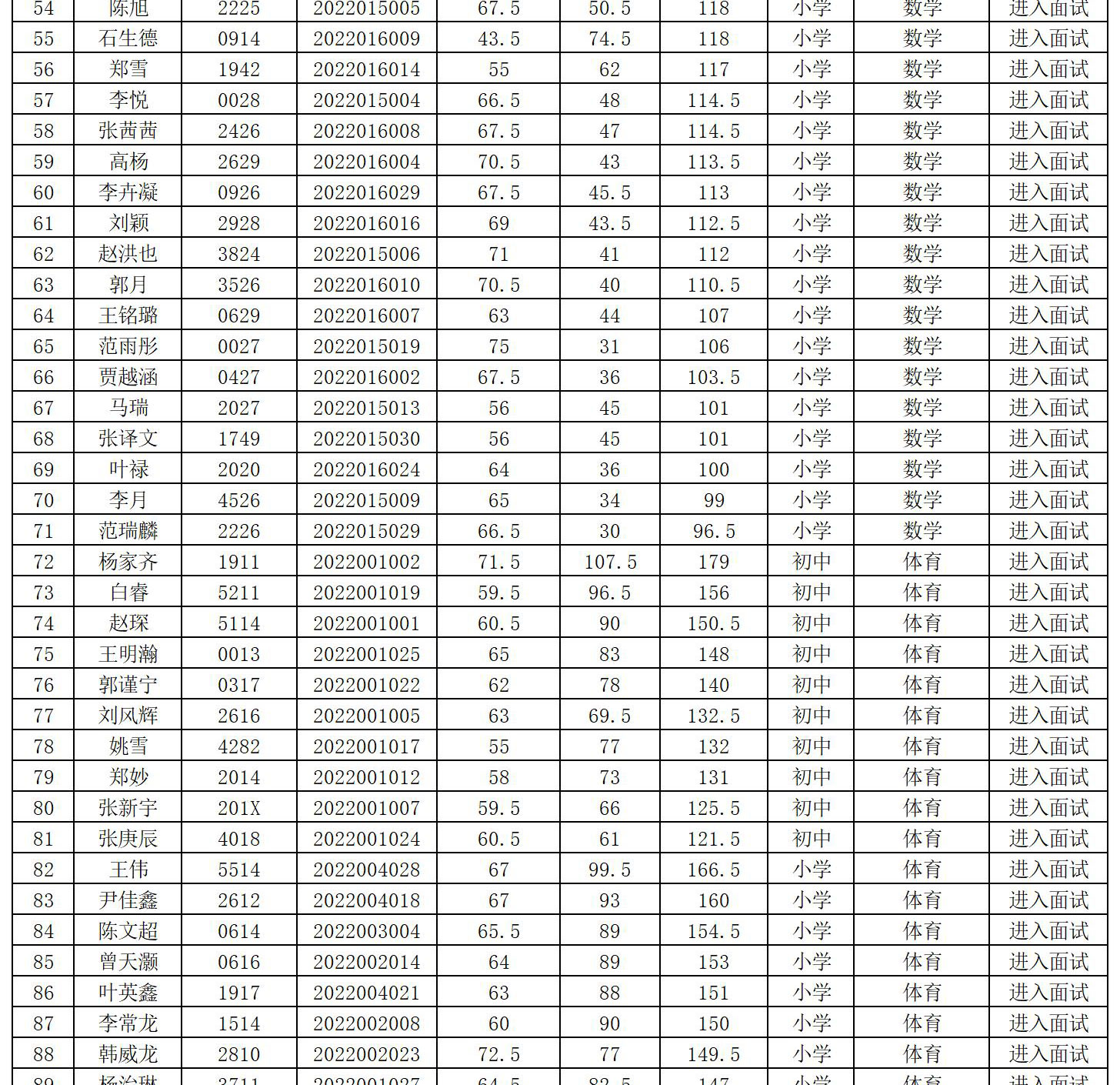
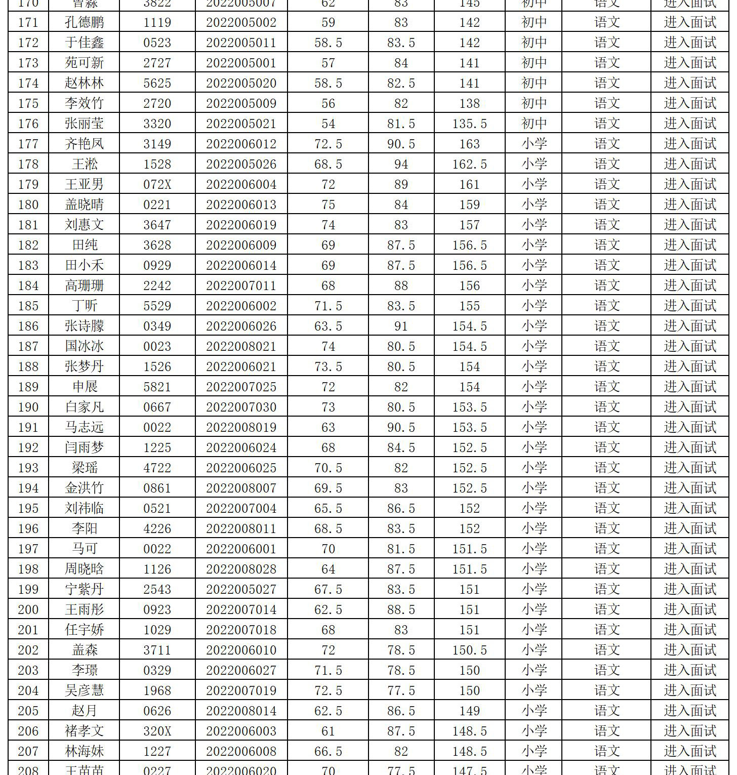
一、进入面试人员
【本站文章系网络转载,科信不对真实性负责,如涉及任何问题,请联系我们,我们立即删除】
上一篇:
盘锦市2022年上半年中小学教师资格考试面试公告
下一篇:
2022年盘锦市教育局直属学校和盘锦高级技工学校公开招聘教师考试面试公告
Copyright@2008-2024 科信教育培训学校
备案号:辽ICP备19014181号-1
辽公网安备 21010302000560号
科信教育公众号
(kexinjiaoyu024)
扫码关注
热门招聘
关注查看
最新解读
关注查看
考试动向
关注查看
科信微博
关注微博
关注
科信抖音
关注抖音
关注
辽宁事业
单位招聘信息
招考信息
更多
>