400-600-1817
考试类型
{{item.name}}
您当前的位置:
>
沈阳
>
事业单位
>
成绩查询
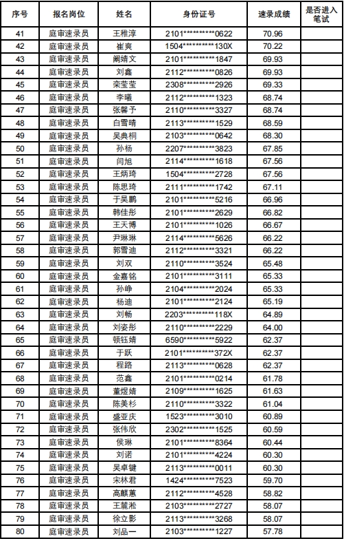
沈河区人民法院2024年补录庭审速录员技能考试成绩公示
2024-07-01
【本站文章系网络转载,科信不对真实性负责,如涉及任何问题,请联系我们,我们立即删除】
上一篇:
辽宁公安司法管理干部学院2024年公开招聘工作人员面试成绩和体检公告
下一篇:
沈河区人民法院2024年补录司法警察辅警体能测试成绩公示
Copyright@2008-2024 科信教育培训学校
备案号:辽ICP备19014181号-1
辽公网安备 21010302000560号
科信教育公众号
(kexinjiaoyu024)
扫码关注
热门招聘
关注查看
最新解读
关注查看
考试动向
关注查看
科信微博
关注微博
关注
科信抖音
关注抖音
关注
辽宁事业
单位招聘信息
招考信息
更多
>