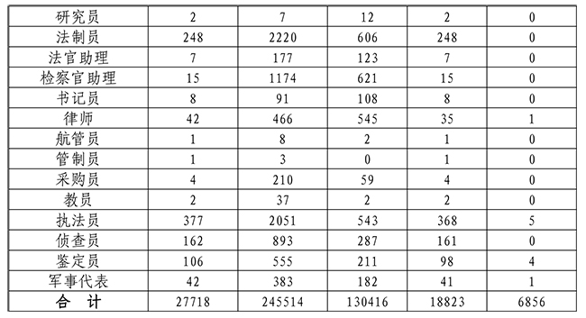
2021年全军面向社会公开招考文职人员(不含先面试后笔试岗位)网上报名于4月7日8时正式开通。截至4月12日17时,有375930人报考,其中245514名报考人员通过网上报名资格条件初审,平均报招考比为13∶1,最高报招考比为901∶1。有人报考的岗位20862个,暂时无人报考的岗位6856个。请广大报考人员理性选择报考岗位,抓紧时间提交审核,并及时关注审核结果。相关岗位报考情况如下:
1.截至4月12日17时各省份岗位报考情况统计表

2.截至4月12日17时各岗位类别报考情况统计表


3.截至4月12日17时热门岗位报考情况统计表

4.截至4月12日17时无人报考的岗位信息表
点击下载:截至4月12日17时无人报考的岗位信息表
