2021年全军面向社会公开招考文职人员(不含先面试后笔试岗位)报名时段已经结束,截至4月13日18时,有547755人报考,其中411772名报考人员通过网上报名资格条件初审,平均报招比为19.3∶1,最高报招比为1103∶1。4月13日18:00至15日18:00期间,招考单位继续对已提交审核的报考人员进行报名资格条件初审,因证明材料不全未通过审核的报考人员可补充材料继续报考该岗位。缴费时间为4月16日8:00至18日18:00,通过报名资格条件初审的报考人员在此期间办理缴费手续和选择考试城市,打印报名回执后方为报名成功。相关岗位报考情况如下:
1.截至4月13日18时各省份岗位报考情况统计表

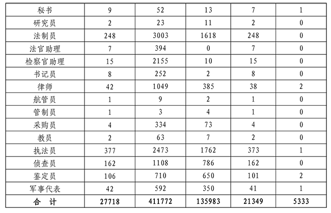
2.截至4月13日18时各岗位类别报考情况统计表


3.截至4月13日18时热门岗位报考情况统计表

